-
-
Notifications
You must be signed in to change notification settings - Fork 740
Description
You are given an integer array nums with no duplicates. A maximum binary tree can be built recursively from nums using the following algorithm:
- Create a root node whose value is the maximum value in
nums. - Recursively build the left subtree on the subarray prefix to the left of the maximum value.
- Recursively build the right subtree on the subarray suffix to the right of the maximum value.
Return the maximum binary tree built fromnums.
Example 1:
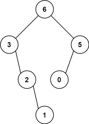
Input: nums = [3,2,1,6,0,5]
Output: [6,3,5,null,2,0,null,null,1]
Explanation: The recursive calls are as follow:
- The largest value in [3,2,1,6,0,5] is 6. Left prefix is [3,2,1] and right suffix is [0,5].
- The largest value in [3,2,1] is 3. Left prefix is [] and right suffix is [2,1].
- Empty array, so no child.
- The largest value in [2,1] is 2. Left prefix is [] and right suffix is [1].
- Empty array, so no child.
- Only one element, so child is a node with value 1.
- The largest value in [0,5] is 5. Left prefix is [0] and right suffix is [].
- Only one element, so child is a node with value 0.
- Empty array, so no child.
Example 2:
Input: nums = [3,2,1]
Output: [3,null,2,null,1]
Constraints:
1 <= nums.length <= 10000 <= nums[i] <= 1000- All integers in
numsare unique.
这道题给了一个数组,让我们创建一个最大二叉树,创建规则是数组中的最大值为根结点,然后分隔出的左右部分再分别创建最大二叉树。那么明眼人一看就知道这是分治法啊,果断上递归啊。首先就是要先找出数组中的最大值,由于数组是无序的,所以没啥好的办法,就直接遍历吧,找到了最大值,就创建一个结点,然后将左右两个子数组提取出来,分别调用递归函数并将结果连到该结点上,最后将结点返回即可,参见代码如下:
解法一:
class Solution {
public:
TreeNode* constructMaximumBinaryTree(vector<int>& nums) {
if (nums.empty()) return NULL;
int mx = INT_MIN, mx_idx = 0;
for (int i = 0; i < nums.size(); ++i) {
if (mx < nums[i]) {
mx = nums[i];
mx_idx = i;
}
}
TreeNode *node = new TreeNode(mx);
vector<int> leftArr = vector<int>(nums.begin(), nums.begin() + mx_idx);
vector<int> rightArr = vector<int>(nums.begin() + mx_idx + 1, nums.end());
node->left = constructMaximumBinaryTree(leftArr);
node->right = constructMaximumBinaryTree(rightArr);
return node;
}
};
下面这种方法也是递归的解法,和上面的解法稍有不同的是不必提取子数组,而是用两个变量来指定子数组的范围,其他部分均和上面的解法相同,参见代码如下:
解法二:
class Solution {
public:
TreeNode* constructMaximumBinaryTree(vector<int>& nums) {
if (nums.empty()) return NULL;
return helper(nums, 0, nums.size() - 1);
}
TreeNode* helper(vector<int>& nums, int left, int right) {
if (left > right) return NULL;
int mid = left;
for (int i = left + 1; i <= right; ++i) {
if (nums[i] > nums[mid]) {
mid = i;
}
}
TreeNode *node = new TreeNode(nums[mid]);
node->left = helper(nums, left, mid - 1);
node->right = helper(nums, mid + 1, right);
return node;
}
};
下面这种解法是论坛上的高分解法,使用到了一个辅助数组v来让保持降序。我们遍历数组,对于每个遍历到的数字,创建一个结点,然后进行循环,如果数组v不空,且末尾结点值小于当前数字,那么将末尾结点连到当前结点的左子结点,并且移除数组中的末尾结点,这样可以保证子结点都会小于父结点。循环结束后,如果此时数组v仍不为空,说明结点值很大,那么将当前结点连到数组末尾结点的右子结点上。之后别忘了将当前结点加入数组v中,最后返回数组v的首结点即可,如果不太容易理解的话,就把题目中的例子带入一步一步运行看一下吧,参见代码如下:
解法三:
class Solution {
public:
TreeNode* constructMaximumBinaryTree(vector<int>& nums) {
vector<TreeNode*> v;
for (int num : nums) {
TreeNode *cur = new TreeNode(num);
while (!v.empty() && v.back()->val < num) {
cur->left = v.back();
v.pop_back();
}
if (!v.empty()) {
v.back()->right = cur;
}
v.push_back(cur);
}
return v.front();
}
};
Github 同步地址:
类似题目:
参考资料:
https://leetcode.com/problems/maximum-binary-tree/
https://leetcode.com/problems/maximum-binary-tree/discuss/106146/C%2B%2B-O(N)-solution
https://leetcode.com/problems/maximum-binary-tree/discuss/106194/javac-simple-recursive-method

