Finish correct implementation of rotor cubature integration scheme#59
Merged
rafmudaf merged 6 commits intorafmudaf:rotor_cubaturefrom May 9, 2023
Bartdoekemeijer:rotor_cubature
Merged
Finish correct implementation of rotor cubature integration scheme#59rafmudaf merged 6 commits intorafmudaf:rotor_cubaturefrom Bartdoekemeijer:rotor_cubature
rafmudaf merged 6 commits intorafmudaf:rotor_cubaturefrom
Bartdoekemeijer:rotor_cubature
Conversation
Author
|
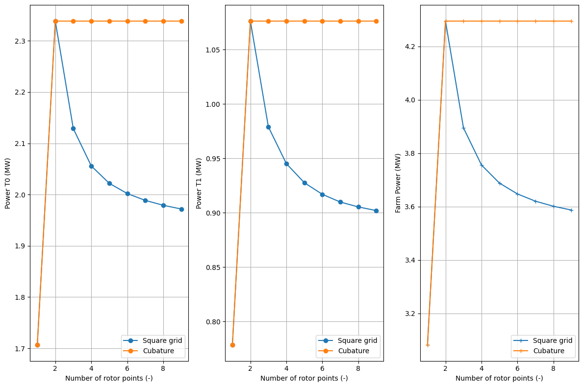
Check out the new notebook. Everything should work now, as far as I can see. Looks like excellent convergence by |
Author
|
And here's the same example for GCH with a more realistic wind shear value: The effect on T2 is still really big for a full wake overlap situation. This may be because the square grid method emphasizes the wind speed in the middle section of the rotor, while the cubature integration scheme looks more on the outer edges of the circle: |
This file contains hidden or bidirectional Unicode text that may be interpreted or compiled differently than what appears below. To review, open the file in an editor that reveals hidden Unicode characters.
Learn more about bidirectional Unicode characters
Sign up for free
to join this conversation on GitHub.
Already have an account?
Sign in to comment
Add this suggestion to a batch that can be applied as a single commit.This suggestion is invalid because no changes were made to the code.Suggestions cannot be applied while the pull request is closed.Suggestions cannot be applied while viewing a subset of changes.Only one suggestion per line can be applied in a batch.Add this suggestion to a batch that can be applied as a single commit.Applying suggestions on deleted lines is not supported.You must change the existing code in this line in order to create a valid suggestion.Outdated suggestions cannot be applied.This suggestion has been applied or marked resolved.Suggestions cannot be applied from pending reviews.Suggestions cannot be applied on multi-line comments.Suggestions cannot be applied while the pull request is queued to merge.Suggestion cannot be applied right now. Please check back later.




Implementing: