-
Notifications
You must be signed in to change notification settings - Fork 918
Description
Description of the issue
Hello everybody,
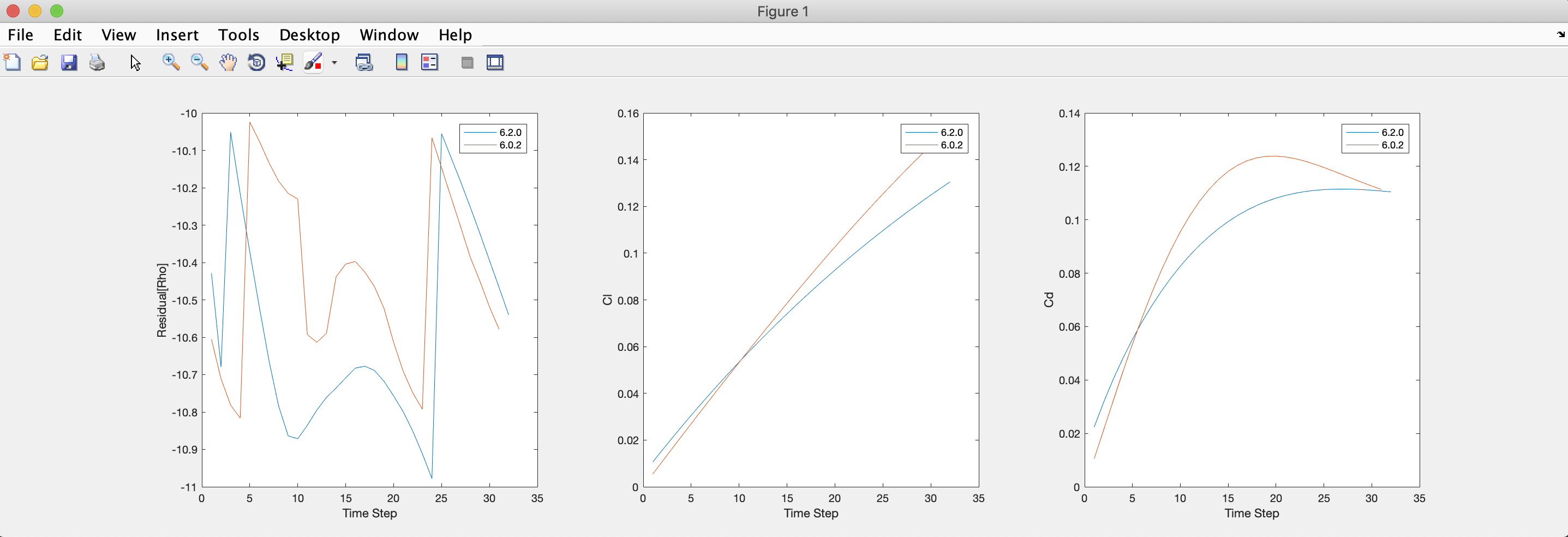
I'm currently running the same testcase (Unsteady Euler ONERAM6 AoA=3deg) on two different versions of SU2 ( version 6.0.1 and 6.2.0). What I noticed is a different evolution in time of coefficients, Cl and Cd as given in the figure. Both the codes look at convergence and the input files (despite the version of the code being different) are the same. I attach the two screen outputs for comparison. I'm running SU2_CFD through the parallel_computation.py with only one core (using different number of cores doesn't affect the result anyway).
Summary_singlecore_6_2_0.txt
Summary_singlecore_6_0_1.txt
To Reproduce the problem
To reproduce the problem I attach the config files. The mesh is available in the repository: mesh_ONERAM6_inv.su2
Note: both versions are/were on the develop branches. Latest one is up to date.
config_CFD_6_0_1.txt
config_CFD_6_2_0.txt
Im running the two versions on different machines with same specs:
Details for the new version
- OS: [Ubuntu 16.04.6 LTS]
- C++ compiler and version: [g++ 5.4.0]
- MPI implementation and version: [Open MPI 1.10.2]
- SU2 Version: [v6.2.0]
Details for the old version
- OS: [Ubuntu 16.04.6 LTS]
- C++ compiler and version: [g++ 5.4.0]
- MPI implementation and version: [Open MPI 1.10.2]
- SU2 Version: [v6.0.1]
Thank you and best,
Rocco
