Skip to content

update_geom_defaults ignores pointrange's "fatten" #2798

@drammock

Description

@drammock

update_geom_defaults appears to ignore the fatten parameter of geom_pointrange. Reprex:

library(ggplot2)
library(dplyr)

iris %>%
    group_by(Species) %>%
    summarise(y=mean(Sepal.Length),
              ymin=min(Sepal.Length),
              ymax=max(Sepal.Length)) %>%
    rename(x=Species) ->
    summary_df

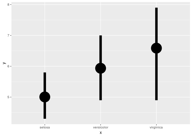
ggplot(summary_df, aes(x=x, y=y, ymin=ymin, ymax=ymax)) + geom_pointrange()

Default settings

it works with size

update_geom_defaults("pointrange", list(size=3))
ggplot(summary_df, aes(x=x, y=y, ymin=ymin, ymax=ymax)) + geom_pointrange()

it doesn't work with fatten

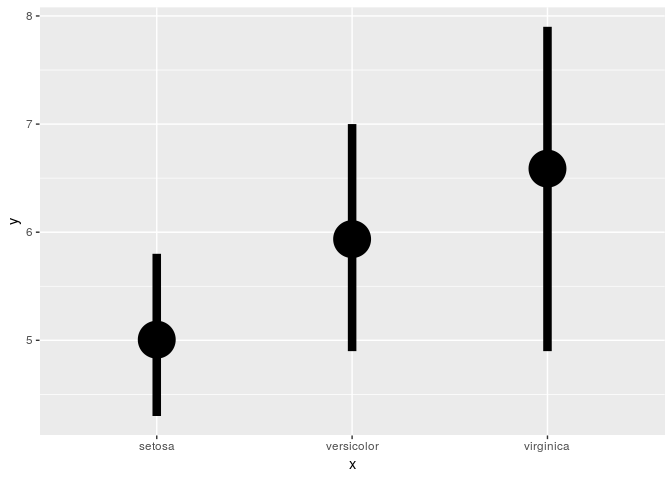
update_geom_defaults("pointrange", list(fatten=1))
ggplot(summary_df, aes(x=x, y=y, ymin=ymin, ymax=ymax)) + geom_pointrange()

update_geom_defaults("pointrange", list(fatten=10))
ggplot(summary_df, aes(x=x, y=y, ymin=ymin, ymax=ymax)) + geom_pointrange()

fatten does work within the geom call

ggplot(summary_df, aes(x=x, y=y, ymin=ymin, ymax=ymax)) + geom_pointrange(fatten=10)

Created on 2018-08-02 by the reprex package (v0.2.0).

Session info
devtools::session_info()
#> Session info -------------------------------------------------------------
#>  setting  value                       
#>  version  R version 3.4.4 (2018-03-15)
#>  system   x86_64, linux-gnu           
#>  ui       X11                         
#>  language en_US                       
#>  collate  en_US.UTF-8                 
#>  tz       America/Los_Angeles         
#>  date     2018-08-02
#> Packages -----------------------------------------------------------------
#>  package    * version    date       source                            
#>  assertthat   0.2.0      2017-04-11 CRAN (R 3.4.3)                    
#>  backports    1.1.2      2017-12-13 CRAN (R 3.4.4)                    
#>  base       * 3.4.4      2018-03-16 local                             
#>  bindr        0.1.1      2018-03-13 CRAN (R 3.4.4)                    
#>  bindrcpp     0.2.2      2018-03-29 CRAN (R 3.4.4)                    
#>  colorspace   1.3-2      2016-12-14 CRAN (R 3.4.1)                    
#>  compiler     3.4.4      2018-03-16 local                             
#>  crayon       1.3.4      2017-09-16 CRAN (R 3.4.4)                    
#>  curl         3.2        2018-03-28 CRAN (R 3.4.4)                    
#>  datasets   * 3.4.4      2018-03-16 local                             
#>  devtools     1.13.6     2018-06-27 CRAN (R 3.4.4)                    
#>  digest       0.6.15     2018-01-28 CRAN (R 3.4.4)                    
#>  dplyr      * 0.7.6      2018-06-29 CRAN (R 3.4.4)                    
#>  evaluate     0.11       2018-07-17 CRAN (R 3.4.4)                    
#>  ggplot2    * 3.0.0.9000 2018-08-02 Github (tidyverse/ggplot2@0770163)
#>  glue         1.3.0      2018-07-17 CRAN (R 3.4.4)                    
#>  graphics   * 3.4.4      2018-03-16 local                             
#>  grDevices  * 3.4.4      2018-03-16 local                             
#>  grid         3.4.4      2018-03-16 local                             
#>  gtable       0.2.0      2016-02-26 CRAN (R 3.4.1)                    
#>  htmltools    0.3.6      2017-04-28 CRAN (R 3.4.1)                    
#>  httr         1.3.1      2017-08-20 CRAN (R 3.4.3)                    
#>  knitr        1.20       2018-02-20 CRAN (R 3.4.4)                    
#>  labeling     0.3        2014-08-23 CRAN (R 3.4.1)                    
#>  lazyeval     0.2.1      2017-10-29 CRAN (R 3.4.4)                    
#>  magrittr     1.5        2014-11-22 CRAN (R 3.4.1)                    
#>  memoise      1.1.0      2017-04-21 CRAN (R 3.4.3)                    
#>  methods    * 3.4.4      2018-03-16 local                             
#>  mime         0.5        2016-07-07 CRAN (R 3.4.1)                    
#>  munsell      0.5.0      2018-06-12 CRAN (R 3.4.4)                    
#>  pillar       1.3.0      2018-07-14 CRAN (R 3.4.4)                    
#>  pkgconfig    2.0.1      2017-03-21 CRAN (R 3.4.3)                    
#>  plyr         1.8.4      2016-06-08 CRAN (R 3.4.1)                    
#>  purrr        0.2.5      2018-05-29 CRAN (R 3.4.4)                    
#>  R6           2.2.2      2017-06-17 CRAN (R 3.4.1)                    
#>  Rcpp         0.12.18    2018-07-23 CRAN (R 3.4.4)                    
#>  rlang        0.2.1      2018-05-30 CRAN (R 3.4.4)                    
#>  rmarkdown    1.10       2018-06-11 CRAN (R 3.4.4)                    
#>  rprojroot    1.3-2      2018-01-03 CRAN (R 3.4.4)                    
#>  scales       0.5.0      2017-08-24 CRAN (R 3.4.1)                    
#>  stats      * 3.4.4      2018-03-16 local                             
#>  stringi      1.2.4      2018-07-20 CRAN (R 3.4.4)                    
#>  stringr      1.3.1      2018-05-10 CRAN (R 3.4.4)                    
#>  tibble       1.4.2      2018-01-22 CRAN (R 3.4.4)                    
#>  tidyselect   0.2.4      2018-02-26 CRAN (R 3.4.4)                    
#>  tools        3.4.4      2018-03-16 local                             
#>  utils      * 3.4.4      2018-03-16 local                             
#>  withr        2.1.2      2018-03-15 CRAN (R 3.4.4)                    
#>  xml2         1.2.0      2018-01-24 CRAN (R 3.4.4)                    
#>  yaml         2.1.19     2018-05-01 CRAN (R 3.4.4)

Metadata

Metadata

Assignees

No one assigned

    Labels

    No labels
    No labels

    Type

    No type

    Projects

    No projects

    Milestone

    No milestone

    Relationships

    None yet

    Development

    No branches or pull requests

    Issue actions