Skip to content

Conversation

teunbrand
Copy link
Collaborator

@teunbrand teunbrand commented Apr 4, 2024

This is a proof-of-concept PR exploring to fix #5820.

Briefly, this PR adds extra spacers to the axis gtable that have 'null' units so that the spacers take up the 'available' space. This works to align labels across panels as 'available space' is flexible and adapts to the size of the cell in the plot's gtable, which is always* based on the largest axis.

* See caveat below

devtools::load_all("~/packages/ggplot2")
#> ℹ Loading ggplot2

data.frame(
  F = c(rep("F1", 3), rep("F2", 3)),
  Y = c("AAAAAAAAAAAAAAAAAAA", "BBBBB", "CCCCCCCCC", "DDDDD", "EEEEEEEE", "FFF"),
  Cnt = c(10, 20, 30, 50, 40 ,60)
) |>
  ggplot(mapping = aes(y = Y, x = Cnt)) +
  geom_col() +
  facet_grid(
    rows = vars(F),
    scales = "free_y"
  ) +
  theme(
    axis.text.y = element_text(hjust = 0)
  )

I consider this PR a POC because this solution is not perfect. In some circumstances, the plot's gtable cell size allocated to axes is smaller than the actual axis size, in particular when facet_wrap() has ragged panels that need to be labelled on the ragged ends. In the plot below, notice that the right axis of the bottom-middle panel is misplaced and also the bottom axis of the top-right panel is misplaced.

# The only failing unit test is this plot
ggplot(mtcars, aes(mpg, disp)) +
  geom_point() +
  guides(x = "axis", y = "axis", x.sec = "axis", y.sec = "axis") + 
  facet_wrap(vars(cyl, vs), axes = "all", axis.labels = "margins")

Created on 2024-04-04 with reprex v2.1.0

However, the axis doesn't know when it will be placed in smaller cells and installing the plumbing to let the axis know would require tempering with already very complicated code that places back axes. Unless I can find some trick to mitigate this problem, I'm stuck at this 90% solution, which is why I wouldn't merge this PR for now.

@teunbrand teunbrand marked this pull request as draft April 4, 2024 14:35
@teunbrand teunbrand marked this pull request as ready for review April 5, 2024 10:24
@teunbrand teunbrand changed the title POC: axis alignment over multiple panels Axis alignment over multiple panels Apr 5, 2024
@thomasp85 thomasp85 marked this pull request as draft May 15, 2024 07:47
@teunbrand

This comment was marked as resolved.

@thomasp85 thomasp85 marked this pull request as ready for review May 21, 2024 08:55
@teunbrand
Copy link
Collaborator Author

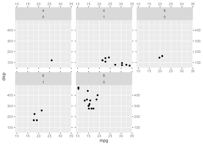
Just for clarity, the plot that failed before no longer fails and gives a nice layout:

devtools::load_all("~/packages/ggplot2")
#> ℹ Loading ggplot2

ggplot(mtcars, aes(mpg, disp)) +
  geom_point() +
  guides(x = "axis", y = "axis", x.sec = "axis", y.sec = "axis") + 
  facet_wrap(vars(cyl, vs), axes = "all", axis.labels = "margins")

Created on 2024-05-21 with reprex v2.1.0

@teunbrand
Copy link
Collaborator Author

For benchmarks I performed the following on the current main branch:

devtools::load_all("~/packages/ggplot2")
#> ℹ Loading ggplot2

plot <- ggplot(mpg, aes(displ, hwy)) +
  geom_point() +
  facet_wrap(vars(cyl, year))

build <- ggplot_build(plot)
gt <- ggplot_gtable(build)

tmp <- tempfile(fileext = ".pdf")
pdf(tmp)

render <- function(table) {
  grid.newpage()
  grid.draw(table)
}

bench::mark(
  build  = ggplot_build(plot),
  table  = ggplot_gtable(build),
  render = render(gt), 
  min_iterations = 10, 
  check = FALSE
)
#> # A tibble: 3 × 6
#>   expression      min   median `itr/sec` mem_alloc `gc/sec`
#>   <bch:expr> <bch:tm> <bch:tm>     <dbl> <bch:byt>    <dbl>
#> 1 build        50.8ms   51.7ms      19.3    2.18MB     8.29
#> 2 table        97.1ms   97.5ms      10.3    4.45MB    15.4 
#> 3 render       48.1ms   49.2ms      20.3  655.27KB     8.68

Created on 2024-05-21 with reprex v2.1.0

And the repeated that exact code for this PR to get the following result:

#> # A tibble: 3 × 6
#>   expression      min   median `itr/sec` mem_alloc `gc/sec`
#>   <bch:expr> <bch:tm> <bch:tm>     <dbl> <bch:byt>    <dbl>
#> 1 build        50.6ms   51.9ms      19.2    2.18MB     8.22
#> 2 table        97.8ms   98.7ms      10.1    4.45MB    15.2 
#> 3 render       50.6ms   51.5ms      19.4  655.27KB     8.32

I think the 1-2 ms cost is bearable.

Copy link
Member

@thomasp85 thomasp85 left a comment

Choose a reason for hiding this comment

The reason will be displayed to describe this comment to others. Learn more.

LGTM - can you add a unit test and news bullet?

@teunbrand teunbrand merged commit 2071c97 into tidyverse:main Aug 20, 2024
@teunbrand teunbrand deleted the facet_axis_alignment branch August 20, 2024 13:00
Sign up for free to join this conversation on GitHub. Already have an account? Sign in to comment

Labels

None yet

Projects

None yet

Development

Successfully merging this pull request may close these issues.

When setting "scales" in facet_grid, the horizontal justification of the axis labels shifts among the panels

2 participants