-
Notifications
You must be signed in to change notification settings - Fork 0
Open
Description
141. 环形链表
Description
Difficulty: 简单
给你一个链表的头节点 head ,判断链表中是否有环。
如果链表中有某个节点,可以通过连续跟踪 next 指针再次到达,则链表中存在环。 为了表示给定链表中的环,评测系统内部使用整数 pos 来表示链表尾连接到链表中的位置(索引从 0 开始)。**注意:pos 不作为参数进行传递 **。仅仅是为了标识链表的实际情况。
如果链表中存在环 ,则返回 true 。 否则,返回 false 。
示例 1:
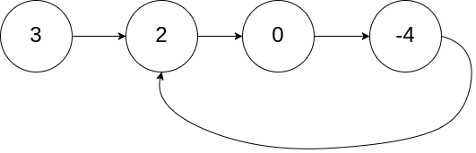
输入:head = [3,2,0,-4], pos = 1
输出:true
解释:链表中有一个环,其尾部连接到第二个节点。
示例 2:
输入:head = [1,2], pos = 0
输出:true
解释:链表中有一个环,其尾部连接到第一个节点。
示例 3:
输入:head = [1], pos = -1
输出:false
解释:链表中没有环。
提示:
- 链表中节点的数目范围是 [0, 104]
- -105 <= Node.val <= 105
pos为-1或者链表中的一个 有效索引 。
**进阶:**你能用 O(1)(即,常量)内存解决此问题吗?
Solution
Language: JavaScript
/**
* Definition for singly-linked list.
* function ListNode(val) {
* this.val = val;
* this.next = null;
* }
*/
/**
* @param {ListNode} head
* @return {boolean}
*/
// 快慢指针
// 快慢指针初始化指向 head
// 快指针走到末尾时停止
// 慢指针走一步,快指针走两步
// 快慢指针相遇,说明含有环,否则不含有环
var hasCycle = function(head) {
let slow = head
let fast = head
while (fast && fast.next) {
slow = slow.next
fast = fast.next.next
if (slow === fast) {
return true
}
}
return false
}
// 哈希表
// var hasCycle = function(head) {
// const map = new Map()
// let p = head
// while (p) {
// if (map.get(p)) return true
// else {
// map.set(p, p.val)
// p = p.next
// }
// }
// return falseMetadata
Metadata
Assignees
Labels
No labels


