-
Notifications
You must be signed in to change notification settings - Fork 0
Open
Description
199. 二叉树的右视图
Description
Difficulty: 中等
Related Topics: 树, 深度优先搜索, 广度优先搜索, 二叉树
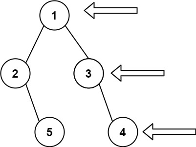
给定一个二叉树的 根节点 root,想象自己站在它的右侧,按照从顶部到底部的顺序,返回从右侧所能看到的节点值。
示例 1:
输入: [1,2,3,null,5,null,4]
输出: [1,3,4]
示例 2:
输入: [1,null,3]
输出: [1,3]
示例 3:
输入: []
输出: []
提示:
- 二叉树的节点个数的范围是
[0,100] -100 <= Node.val <= 100
Solution
Language: JavaScript
/**
* Definition for a binary tree node.
* function TreeNode(val, left, right) {
* this.val = (val===undefined ? 0 : val)
* this.left = (left===undefined ? null : left)
* this.right = (right===undefined ? null : right)
* }
*/
/**
* @param {TreeNode} root
* @return {number[]}
*/
// var rightSideView = function(root) {
// const res = []
// const dfs = (root, depth) => {
// if (!root) return null
// if (depth === res.length) {
// res.push(root.val)
// }
// depth++
// dfs(root.right, depth)
// dfs(root.left, depth)
// }
// dfs(root, 0)
// return res
// };
var rightSideView = function(root) {
if (!root) return []
const q = [root]
const res = []
while (q.length) {
let len = q.length
while(len--) {
const n = q.shift()
if (!len) res.push(n.val)
n.left && q.push(n.left)
n.right && q.push(n.right)
}
}
return res
}Metadata
Metadata
Assignees
Labels
No labels
