-
Notifications
You must be signed in to change notification settings - Fork 3
Open
Description
105. 从前序与中序遍历序列构造二叉树
Description
Difficulty: 中等
Related Topics: 树, 数组, 哈希表, 分治, 二叉树
给定两个整数数组 preorder 和 inorder ,其中 preorder 是二叉树的先序遍历, inorder 是同一棵树的中序遍历,请构造二叉树并返回其根节点。
示例 1:
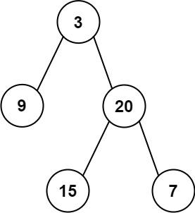
输入: preorder = [3,9,20,15,7], inorder = [9,3,15,20,7]
输出: [3,9,20,null,null,15,7]
示例 2:
输入: preorder = [-1], inorder = [-1]
输出: [-1]
提示:
1 <= preorder.length <= 3000inorder.length == preorder.length-3000 <= preorder[i], inorder[i] <= 3000preorder和inorder均 无重复 元素inorder均出现在preorderpreorder保证 为二叉树的前序遍历序列inorder保证 为二叉树的中序遍历序列
Solution
Language: JavaScript
/**
* Definition for a binary tree node.
* function TreeNode(val, left, right) {
* this.val = (val===undefined ? 0 : val)
* this.left = (left===undefined ? null : left)
* this.right = (right===undefined ? null : right)
* }
*/
/**
* @param {number[]} preorder
* @param {number[]} inorder
* @return {TreeNode}
*/
// 前序遍历: 根-左-右
// 中序遍历:左-根-右
// 先用前序遍历找根节点,在用根节点去中序遍历确定左右子树
var buildTree = function(preorder, inorder) {
// 当preorder和inorder均为空的时候说明已经到了空节点
if (!preorder.length || !inorder.length) return null
// 创建根节点 -> preorder[0]
let node = new TreeNode(preorder[0])
// 找到perorder[0]对应inorder中的位置
let index = inorder.indexOf(preorder.shift())
// 左右子树递归
node.left = buildTree(preorder, inorder.slice(0, index))
node.right = buildTree(preorder, inorder.slice(index + 1))
// 返回根节点
return node
}Metadata
Metadata
Assignees
Labels
No labels
