-
Notifications
You must be signed in to change notification settings - Fork 0
Open
Description
124. 二叉树中的最大路径和
Description
Difficulty: 困难
Related Topics: 树, 深度优先搜索, 动态规划, 二叉树
路径 被定义为一条从树中任意节点出发,沿父节点-子节点连接,达到任意节点的序列。同一个节点在一条路径序列中 至多出现一次 。该路径 至少包含一个 节点,且不一定经过根节点。
路径和 是路径中各节点值的总和。
给你一个二叉树的根节点 root ,返回其 最大路径和 。
示例 1:
输入:root = [1,2,3]
输出:6
解释:最优路径是 2 -> 1 -> 3 ,路径和为 2 + 1 + 3 = 6
示例 2:
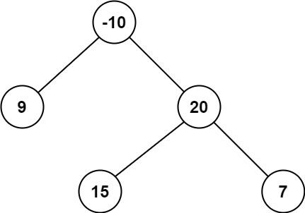
输入:root = [-10,9,20,null,null,15,7]
输出:42
解释:最优路径是 15 -> 20 -> 7 ,路径和为 15 + 20 + 7 = 42
提示:
- 树中节点数目范围是 [1, 3 * 104]
-1000 <= Node.val <= 1000
Solution
Language: JavaScript
/**
* Definition for a binary tree node.
* function TreeNode(val, left, right) {
* this.val = (val===undefined ? 0 : val)
* this.left = (left===undefined ? null : left)
* this.right = (right===undefined ? null : right)
* }
*/
/**
* @param {TreeNode} root
* @return {number}
*/
// DFS
var maxPathSum = function(root) {
let ans = -Infinity
dfs(root)
return ans
function dfs(root) {
if (!root) return 0
let left = dfs(root.left)
let right = dfs(root.right)
ans = Math.max(ans, root.val + left + right)
return Math.max(0, Math.max(left, right) + root.val)
}
};Metadata
Metadata
Assignees
Labels
No labels

